杏仁霜って何?杏仁豆腐がもっと美味しくなる秘密を徹底解説!(?)杏仁霜の基礎知識から、購入方法、レシピまで。
とろける魅惑の中華デザート、杏仁豆腐の世界へ!芳醇な香りの秘密兵器「杏仁霜」とは?読み方から入手方法、アーモンドパウダーとの違いまで徹底解説。本格レシピはもちろん、アレンジ自在な活用術で、焼き菓子やドリンクも杏仁風味に。余った杏仁霜も無駄にしない、デザートライフを彩る情報満載!
杏仁霜、どこで手に入れる?
杏仁霜、どこで買える?どんな料理に使える?
スーパーや専門店で。お菓子やドリンクに!
杏仁霜は、どこで手に入れることができるのでしょうか?手軽に入手できるお店や、杏仁霜を使ったアレンジレシピをご紹介します。

✅ カルディで販売されている「杏仁霜」は、本格的な杏仁豆腐が手軽に作れる粉末状の食材で、150g入り602円(税込)とコスパが良い。
✅ 原材料は甜杏仁(あんずの種を粉末状にしたもの)を主体とし、砂糖や香料などが含まれる。台湾産で、賞味期限は長く、直射日光、高温多湿を避けて保存する。
✅ 杏仁豆腐や杏仁プリンなど、アレンジレシピも豊富で、少ない材料で本格的なデザートが作れる。牛乳やフルーツなどを加えて様々な味を楽しめる。
さらに読む ⇒ ichioshi出典/画像元: https://ichioshi.smt.docomo.ne.jp/articles/common/492442カルディで手軽に手に入るのは嬉しいですね。
杏仁霜は、色々な料理に使えるんですね。
焼き菓子やドリンクにも使えるなんて、万能ですね!。
杏仁霜は、大型スーパー、製菓材料専門店、オンラインショップなど、比較的容易に入手できます。
カルディなどでも取り扱いがあるようです。
杏仁霜は、杏仁豆腐だけでなく、ババロアや焼き菓子、ドリンクなど、様々な用途に活用できます。
たとえば、焼き菓子にはシフォンケーキ、クッキー、マフィン、マカロン、蒸しパンなどに、粉全体の10~20%を置き換えて使用できます。
ドリンクとしては、牛乳、豆乳、甘酒などに混ぜて杏仁風味のドリンクを作ることも可能です。
少量のお湯や牛乳で溶かしてから加えるのがコツです。
カルディで手軽に手に入るのはいいね。色々な料理に使えるってのは、酒飲みにも嬉しい情報だ。杏仁風味のドリンクとか、想像しただけでたまらん。
杏仁霜、その奥深き成分
杏仁霜の危険性とは?大量摂取で注意すべき理由は?
アミグダリンから生成される青酸に注意。
杏仁霜の成分について、深く掘り下げていきましょう。
知っておくべき注意点についても解説します。

✅ 杏仁はアンズの種子を乾燥させた生薬で、咳止めや便通改善に使われる。
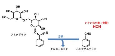
✅ 杏仁にはアミグダリンという成分が含まれており、体内で分解されると毒性のシアン化水素を発生させ、中毒症状を引き起こす可能性がある。
✅ アミグダリンを含むサプリメントによる健康被害は、がんへの効果を謳う医療デマが原因の一つとして挙げられる。
さらに読む ⇒ 薬剤師トップ | m3.com 出典/画像元: https://pharmacist.m3.com/column/special_feature/4891杏仁霜の成分について、詳しく知ることができました。
アミグダリンやシアン化水素といった言葉が出てくると少し不安になりますが、注意点を理解していれば、安心して杏仁霜を楽しむことができますね。
杏仁霜は、甜杏仁(甘味のある杏の種子)の粉末を指し、本来は乳成分を含みませんが、商品によってはコーンスターチや乳成分が含まれる場合があります。
杏仁にはアミグダリンという成分が含まれており、これが分解されると青酸を生成します。
市販の杏仁豆腐では、アミグダリンやシアン化水素の残留を心配する必要はありませんが、高濃度の杏仁製品を大量に摂取する場合は注意が必要です。
ビタミンCはアミグダリンの毒性を強める可能性があるため、大量摂取の際には注意し、ビタミンCとの同時摂取は避けるべきです。
え、杏仁霜ってちょっと怖い成分も入ってるんだ。でも、ちゃんと注意すれば大丈夫ってことですね。勉強になりました。
杏仁霜レシピと、その可能性
杏仁霜、どう使う?家庭で楽しむ杏仁豆腐アレンジとは?
本格杏仁やプリン、寒天など多彩なレシピ!
杏仁霜を使った、おすすめレシピをご紹介します。
本格的な杏仁豆腐から、手軽に作れるデザートまで、幅広くご紹介します。

✅ 濃厚な杏仁豆腐のレシピを紹介。ゼラチンの量に注意し、生クリームと練乳で濃厚さを出すのがポイント。
✅ 杏仁霜を温め、牛乳、生クリーム、練乳、砂糖を加え、ゼラチンを溶かして濾す。カップに入れて冷やし固める。
✅ クコの実をシロップで煮詰めて添える。シロップは冷蔵保存し、炭酸水で割っても楽しめる。
さらに読む ⇒装苑ONLINE – 装苑オンラインは、学校法人文化学園文化出版局が発刊するファッション雑誌『装苑』のオフィシャルサイトです。ファッション全般に関する情報や本誌の特集に関連した企画をはじめ、オリジナルコンテンツに特化した企画を掲載。 さらに、パリ支局からのパリ情報や日本を代表するファッションコンテスト装苑賞、おしゃれな学生をキャッチしたファッションスナップ企画など文化学園の情報も充実させて毎日発信しております。出典/画像元: https://soen.tokyo/lifestyle/recipe220608/本格的な杏仁豆腐のレシピ、とても美味しそうですね!アーモンドエッセンスで代用できるプリンも魅力的です。
色々なレシピを試して、杏仁霜の可能性を追求してみたくなります。
杏仁霜を使った本格的な杏仁豆腐のレシピだけでなく、アーモンドエッセンスで代用した杏仁豆腐風プリンや、ひと口杏仁風寒天など、家庭で手軽に杏仁豆腐を楽しむ方法も紹介します。
牛乳と生クリームの割合で味わいを調整するなど、アレンジも可能です。
余ってしまいがちな杏仁霜は、様々なデザートに活用できます。
色々な質感の杏仁豆腐に挑戦したり、レシピを検索したりして、杏仁霜の可能性を広げていきましょう。
本格的な杏仁豆腐もいいけど、手軽に作れるレシピがあるのは嬉しい!色んな杏仁霜レシピを試して、家族みんなで楽しみたいわ。
今回は、杏仁霜について深く掘り下げてきました。
その魅力や活用方法、注意点などを知ることができ、今後の食生活に役立てられそうです。
💡 杏仁霜は、杏仁豆腐の風味を格段に向上させる魔法の粉末です。その芳醇な香りは、他のデザートにはない特別な体験を提供してくれます。
💡 杏仁霜は、カルディや製菓材料専門店、オンラインショップなどで手軽に入手できます。様々なアレンジレシピを試してみましょう。
💡 杏仁霜には、アミグダリンという成分が含まれており、注意が必要です。正しい知識を持って、安全に杏仁霜を楽しみましょう。